磷酸锆用于修饰电极进行重金属离子的吸附����� �������Ƴ������������ �������Ƴ������������ �������Ƴ�������与检测

磷酸锆厂家推荐:磷酸锆用于修饰电极����� �������Ƴ������������ �������Ƴ�������进行重金属离子的吸附与检测

实验方法

使用硝酸铅作为Pb2+的来源,实验中使用的吸����� �������Ƴ������������ �������Ƴ�������附剂磷酸锆(ZrP)均为50 mg。所有吸附实����� �������Ƴ������������ �������Ƴ�������验都在室温下,在150 mL的锥形瓶中进行����� �������Ƴ������������ �������Ƴ������������ �������Ƴ����������� �������Ƴ�������。100 mL的NaAc����� �������Ƴ������������ �������Ƴ������������ �������Ƴ������������ �������Ƴ�������-HAc (pH 4.0)溶液中加入了不同浓度的����� �������Ƴ������������ �������Ƴ������金属离子。为了����� �������Ƴ����� �������Ƴ������������ �������Ƴ����������� �������Ƴ����������� �������Ƴ������������使吸附达到平衡,溶液����� �������Ƴ����������� �������Ƴ�������在摇床中震荡24小时。随后,溶液经离心分����� �������Ƴ������������ �������Ƴ�������离,得到固相和液相。液相使用电感耦合等离子����� �������Ƴ������������ �������Ƴ�������体原子发射光谱仪(ICP)检测金属����� �������Ƴ������������ �������Ƴ������������ �������Ƴ�������离子浓度,而固相则在65℃的真空干燥箱中干燥,����� �������Ƴ������������ �������Ƴ������������ �������Ƴ�������用于XPS分析。整个实验过程中,pH值����� �������Ƴ����������� �������Ƴ������������ �������Ƴ������������ �������Ƴ�������始终维持在4.0,使用0.1 M NaAc和H����� �������Ƴ����������� �������Ƴ������Ac溶液进行调节。

层状磷酸锆(ZrP)选择性电化学检测Pb2+����� �������Ƴ����������� �������Ƴ������������ �������Ƴ�������的示意图及吸附或未吸附重金属离子的几何结构

1.png

经过ZrP吸附的Pb2+扩散至电极表面并在一定电����� �������Ƴ������������ �������Ƴ�������位下还原为Pb。随后,Pb����� �������Ƴ������������ �������Ƴ������������ �������Ƴ������������ �������Ƴ�������经阳极溶出再氧化为Pb2+。通过Pb2����� �������Ƴ������������ �������Ƴ������������ �������Ƴ�������+的溶出峰电流可测定定量吸附的Pb2+。在诸����� �������Ƴ������������ �������Ƴ������������ �������Ƴ�������多常见金属离子当中,如Zn����� �������Ƴ������������ �������Ƴ������������ �������Ƴ�������2+,cd2+,Pb2+,����� �������Ƴ������������ �������Ƴ������������ �������Ƴ����������� �������Ƴ�������Cu2+����� �������Ƴ��������� �������Ƴ����������� �������Ƴ������������ �������Ƴ���������’,Hg2+基于Pb2+与剥层ZrP的较强����� �������Ƴ������������ �������Ƴ�������的结合作用,我们认为剥层ZrP这一修饰材����� �������Ƴ������������ �������Ƴ������������ �������Ƴ������������ �������Ƴ�������料可优先吸附Pb2+,继而在诸多金����� �������Ƴ������������ �������Ƴ����������� �������Ƴ�������属离子中实现对pb2+的选择����� �������Ƴ������������ �������Ƴ�������性检测。

层状α-ZrP(α-磷酸锆)的剥离过程示意图

2.png

大分子客体(四甲基氢氧化����� �������Ƴ����������� �������Ƴ������铵水溶液)TMAOH克服α����� �������Ƴ������������ �������Ƴ�������-ZrP层与层之间的相互作用力,插层进入主����� �������Ƴ������������ �������Ƴ������������ �������Ƴ����������� �������Ƴ������体材料层板之间,使α-ZrP层间距增����� �������Ƴ����������� �������Ƴ�������大。经搅拌超声后层与层被迫分离����� �������Ƴ������������ �������Ƴ�������得到分离的单体ZrP片层����� �������Ƴ������������ �������Ƴ������������ �������Ƴ�������的过程。由于α-ZrP的层板与层间含有大量����� �������Ƴ������������ �������Ƴ�������的活性基团P-OH,该基团����� �������Ƴ������������ �������Ƴ�������在水溶液中容易质子化后脱去质子H使得层板表面带����� �������Ƴ������������ �������Ƴ������������ �������Ƴ�������负电荷;大分子的TMA+����� �������Ƴ������������ �������Ƴ������������ �������Ƴ����������� �������Ƴ������端基带正电荷,因此,正负电荷之间的����� �������Ƴ������������ �������Ƴ������静电作用力使TMA+进入层板之间,����� �������Ƴ������������ �������Ƴ������������ �������Ƴ������层����� �������Ƴ����� �������Ƴ������������ �������Ƴ������������间距增大,超声处理����� �������Ƴ������������ �������Ƴ������������ �������Ƴ�������后层与层之间分离,每一个片层都成为了一个����� �������Ƴ������������ �������Ƴ������������ �������Ƴ�������独立的个体。

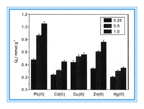
吸附能力的比较

3.png

在pH=4.0的醋酸-醋酸钠缓冲溶液中,����� �������Ƴ������������ �������Ƴ�������剥离的单层磷酸锆(ZrP)����� �������Ƴ������������ �������Ƴ�������对金属离子Pb2+,cd2����� �������Ƴ������������ �������Ƴ������������ �������Ƴ�������+,Cu2+,Zn2+,H����� �������Ƴ������������ �������Ƴ������������ �������Ƴ�������g2+的吸附能力比较。实验中使用了5����� �������Ƴ������������ �������Ƴ������������ �������Ƴ������������ �������Ƴ�������0 mg的吸附剂磷酸锆加入到100 ����� �������Ƴ������������ �������Ƴ������������ �������Ƴ�������mL分别含有0.25,0.5,����� �������Ƴ������������ �������Ƴ������������ �������Ƴ������������ �������Ƴ�������1.0 mM的金属离子溶液中。

实验结果显示,ZrP材料对五种金属离子都表现出了����� �������Ƴ������������ �������Ƴ�������很好的吸附能力。其中,对Pb2+,的吸附容量明����� �������Ƴ����������� �������Ƴ����������� �������Ƴ������显高于其它四种金属离子。这表明,剥离����� �������Ƴ������������ �������Ƴ������������ �������Ƴ�������之后的单层ZrP材料在电化学检测的实验条件下����� �������Ƴ������������ �������Ƴ������对Pb2+,依然表现出了良好的选择性����� �������Ƴ����������� �������Ƴ������������ �������Ƴ�������吸附的能力。如下图所示:

4.png

在所示的总图谱中,����� �������Ƴ������ �������Ƴ������������ �������Ƴ������������ZrP材料中的本征元素O,����� �������Ƴ����������� �������Ƴ������������ �������Ƴ������������ �������Ƴ�������C,Zr,P分别在电子能为532,284����� �������Ƴ������������ �������Ƴ������������ �������Ƴ������������ �������Ƴ�������,183及134 eV处出现了特����� �������Ƴ������������ �������Ƴ������征峰,对应于Ols,Cls,����� �������Ƴ������������ �������Ƴ�������Zr3d和P2p轨道的能量值。除此之����� �������Ƴ������������ �������Ƴ������������ �������Ƴ������������ �������Ƴ�������外,吸附后的材料中分别表现出了不同程度����� �������Ƴ������������ �������Ƴ������������ �������Ƴ�������强弱的金属元素Pb,Cd,Cu,Hg,Z����� �������Ƴ������������ �������Ƴ������������ �������Ƴ�������n的特征峰。其中,Pb的特征峰信号非����� �������Ƴ������������ �������Ƴ����������� �������Ƴ�������常明显,其它几种金属元素����� �������Ƴ������������ �������Ƴ������������ �������Ƴ������的特征峰信号比较微弱,但����� �������Ƴ������������ �������Ƴ������������ �������Ƴ�������依然是可以被探测的到的。这进一步验证了ZrP����� �������Ƴ������������ �������Ƴ�������材料对Pb2+,有较强的吸附选择性。

总结

磷酸锆(ZrP)对金属离子的选择性响应起源于����� �������Ƴ������������ �������Ƴ�������它们之间的选择性的吸附作用。����� �������Ƴ������������ �������Ƴ������������ �������Ƴ�������磷酸锆(ZrP)之所以对铅(P����� �������Ƴ����������� �������Ƴ������b2+),表现出了较强的吸附能力,����� �������Ƴ������������ �������Ƴ������������ �������Ƴ�������是由于吸附完成后,磷酸锆与Pb原子发����� �������Ƴ����������� �������Ƴ������������ �������Ƴ�������生了内����� ���������� �������Ƴ����������� �������Ƴ������������ �������Ƴ������������ �������Ƴ���������Ƴ������部络合作用。而吸����� �������Ƴ������������ �������Ƴ������������ �������Ƴ������������ �������Ƴ�������附其它几种金属离子则主要是由于静电吸����� �������Ƴ������������ �������Ƴ����������� �������Ƴ������������ �������Ƴ�������引作用力。显然,络合作用力要明显强于单纯的静����� �������Ƴ������������ �������Ƴ������������ �������Ƴ������������ �������Ƴ�������电作用;另一方面,磷酸锆是一种阳����� �������Ƴ������������ �������Ƴ������������ �������Ƴ������������ �������Ƴ�������离子型的离子交换剂,一般情况下����� �������Ƴ������������ �������Ƴ������������ �������Ƴ������������ �������Ƴ�������,具有较低水合能的二价金属离子����� �������Ƴ������������ �������Ƴ������������ �������Ƴ������������ �������Ƴ�������更容易被吸附到阳离子交换剂上。在几种����� �������Ƴ������������ �������Ƴ�������金属离子中,Pb2+,具����� �������Ƴ������������ �������Ƴ������������ �������Ƴ������有较低的水合能,因此更容易与磷����� �������Ƴ������������ �������Ƴ�������酸锆发生反应。这可能是对金属离子具����� �������Ƴ������������ �������Ƴ�������有选择性作用的一个原因。����� �������Ƴ������������ �������Ƴ������������ �������Ƴ������������ �������Ƴ�������